Description
This comprehensive Pioneer Service Manual is an essential technical guide for the VSA-E07 Audio/Video Multi-Channel Amplifier. It provides detailed information necessary for the service, maintenance, and repair of this model. The manual is applicable to the HY (AC220-230V, AC240V) and Q (AC230V, AC220V/AC240V) types, noting that the voltage can be converted by altering the Power-supply block wiring as described in the “Line Voltage Selection” section. It also specifies that it should be used in conjunction with the VSX-908RDS-G/HY manual (Order No. RRV2166).
Key Features and Content Overview:
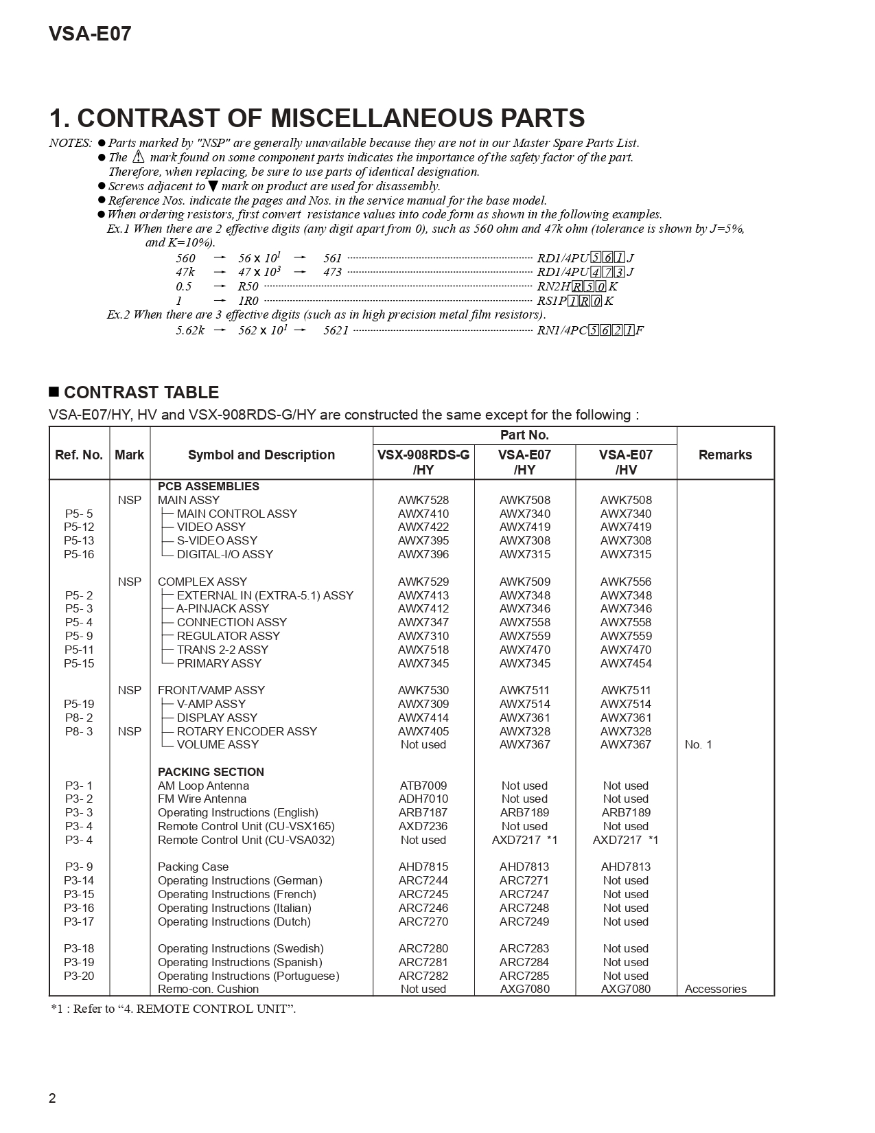
- CONTRAST OF MISCELLANEOUS PARTS: Details component parts, including those marked ‘NSP’ (Not in Master Spare Parts List) and the $\triangle$ mark (safety factor), along with part numbers for all variants. Notes detail resistor value coding (e.g., $56 \times 10^1$ for $560\Omega$) and high-precision metal film resistors.
- Detailed Parts Table: Provides a contrast table of interchangeable parts across the VSX-908RDS-G/HY, VSA-E07/HY, and VSA-E07 models. It lists key PCB Assemblies (MAIN CONTROL, V-VIDEO, DIGITAL I/O, COMPLEX ASSY), FRONT/NAME ASSY, DISPLAY ASSY, and the PACKING SECTION (Antennas, Remote Control Unit, Operating Instructions in various languages).
Main Sections of the Manual (Contents):
- CONTRAST OF MISCELLANEOUS PARTS
- PCB CONNECTION DIAGRAM
- SCHEMATIC DIAGRAM
- REMOTE CONTROL UNIT
This manual is available for INSTANT DOWNLOAD, ensuring immediate access to all necessary technical specifications and service procedures.



